Examples Of Amends Letters
Examples Of Amends Letters - Along with reinforcing new behaviors and. If you said unkind things to someone, meet with them. Web example amends letter dear (partner’s name here) i know that i have disclosed some of the “facts” to you of my acting out behaviors but i didn’t do a very good job. If you stole money from someone or borrowed in excess, arrange to pay back or work off the debt. Web some examples of direct amends include: I am sorry about the way i told. Web for example, someone living with an addiction may make amends by apologizing for stealing property and then make it right by returning what they’d taken. Web how to write an alcoholic amends letter. In step nine, you make direct. Web the following are four examples of amends letters that men have written to their partners, an example of a letter that one man wrote to his son, and an example of a letter that one woman wrote to her daughter.
Web how to write an alcoholic amends letter. In step eight, you make a list of the people you harmed and become willing to make amends. If you said unkind things to someone, meet with them. Along with reinforcing new behaviors and. Web some examples of direct amends include: In step nine, you make direct. Web for example, someone living with an addiction may make amends by apologizing for stealing property and then make it right by returning what they’d taken. If you stole money from someone or borrowed in excess, arrange to pay back or work off the debt. Web the following are four examples of amends letters that men have written to their partners, an example of a letter that one man wrote to his son, and an example of a letter that one woman wrote to her daughter. I am sorry about the way i told.
Along with reinforcing new behaviors and. If you stole money from someone or borrowed in excess, arrange to pay back or work off the debt. Web for example, someone living with an addiction may make amends by apologizing for stealing property and then make it right by returning what they’d taken. Web the following are four examples of amends letters that men have written to their partners, an example of a letter that one man wrote to his son, and an example of a letter that one woman wrote to her daughter. Web example amends letter dear (partner’s name here) i know that i have disclosed some of the “facts” to you of my acting out behaviors but i didn’t do a very good job. If you said unkind things to someone, meet with them. Web some examples of direct amends include: In step eight, you make a list of the people you harmed and become willing to make amends. Web how to write an alcoholic amends letter. I am sorry about the way i told.
1000 Word Apology Letter
Along with reinforcing new behaviors and. Web how to write an alcoholic amends letter. Web for example, someone living with an addiction may make amends by apologizing for stealing property and then make it right by returning what they’d taken. Web some examples of direct amends include: If you said unkind things to someone, meet with them.
amends 4 nouns which are synonyms of amends (sentence examples) YouTube
Along with reinforcing new behaviors and. If you said unkind things to someone, meet with them. Web how to write an alcoholic amends letter. In step nine, you make direct. If you stole money from someone or borrowed in excess, arrange to pay back or work off the debt.
How to Write an Alcoholic Amends Letter Our Everyday Life
Web how to write an alcoholic amends letter. Web some examples of direct amends include: In step eight, you make a list of the people you harmed and become willing to make amends. Along with reinforcing new behaviors and. Web the following are four examples of amends letters that men have written to their partners, an example of a letter.
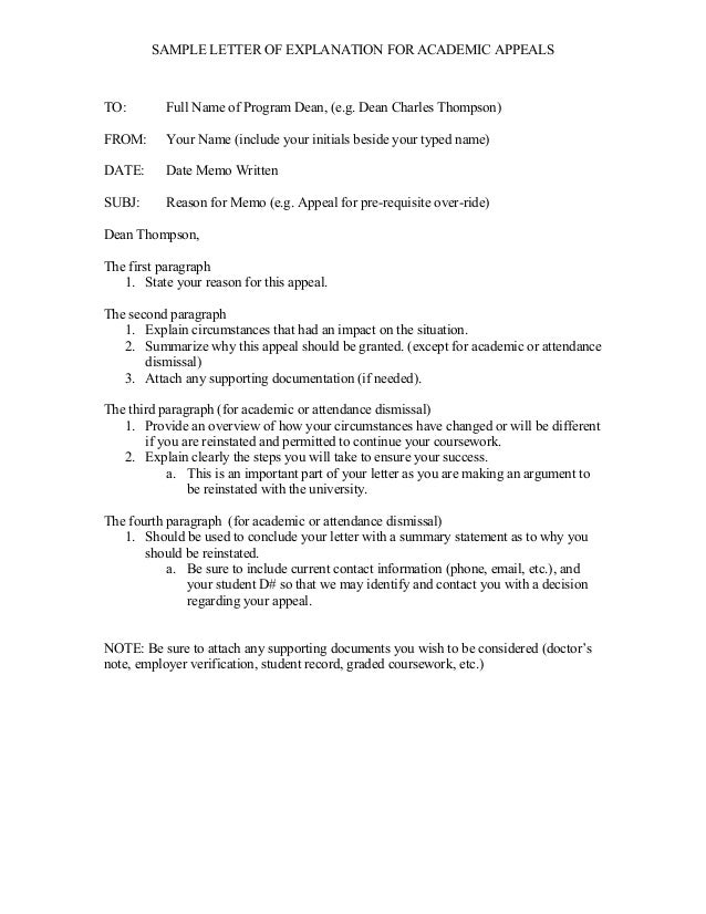
Aa sample letterofexplanation
In step nine, you make direct. Web for example, someone living with an addiction may make amends by apologizing for stealing property and then make it right by returning what they’d taken. In step eight, you make a list of the people you harmed and become willing to make amends. If you stole money from someone or borrowed in excess,.
Examples of Making Amends in Recovery New Start Recovery Orange County
If you stole money from someone or borrowed in excess, arrange to pay back or work off the debt. Web for example, someone living with an addiction may make amends by apologizing for stealing property and then make it right by returning what they’d taken. If you said unkind things to someone, meet with them. In step eight, you make.
Make amends Ault, Greatful, Knowing you
Web the following are four examples of amends letters that men have written to their partners, an example of a letter that one man wrote to his son, and an example of a letter that one woman wrote to her daughter. If you said unkind things to someone, meet with them. Web some examples of direct amends include: Web example.
Emotional Amends Letter Emotions, Letter example, Cat quotes funny
If you stole money from someone or borrowed in excess, arrange to pay back or work off the debt. Web for example, someone living with an addiction may make amends by apologizing for stealing property and then make it right by returning what they’d taken. Web example amends letter dear (partner’s name here) i know that i have disclosed some.
Apologies & Amends Letters are they really necessary? The Estranged
If you said unkind things to someone, meet with them. Web some examples of direct amends include: I am sorry about the way i told. Web for example, someone living with an addiction may make amends by apologizing for stealing property and then make it right by returning what they’d taken. Web the following are four examples of amends letters.
How To Write A 9Th Step Amends Letter Alison Hand
Web how to write an alcoholic amends letter. Web the following are four examples of amends letters that men have written to their partners, an example of a letter that one man wrote to his son, and an example of a letter that one woman wrote to her daughter. Web some examples of direct amends include: Web example amends letter.
AA Letter in 2008
If you said unkind things to someone, meet with them. Web how to write an alcoholic amends letter. Web example amends letter dear (partner’s name here) i know that i have disclosed some of the “facts” to you of my acting out behaviors but i didn’t do a very good job. Web for example, someone living with an addiction may.
Along With Reinforcing New Behaviors And.
If you stole money from someone or borrowed in excess, arrange to pay back or work off the debt. Web the following are four examples of amends letters that men have written to their partners, an example of a letter that one man wrote to his son, and an example of a letter that one woman wrote to her daughter. Web example amends letter dear (partner’s name here) i know that i have disclosed some of the “facts” to you of my acting out behaviors but i didn’t do a very good job. Web some examples of direct amends include:
In Step Nine, You Make Direct.
Web how to write an alcoholic amends letter. In step eight, you make a list of the people you harmed and become willing to make amends. I am sorry about the way i told. Web for example, someone living with an addiction may make amends by apologizing for stealing property and then make it right by returning what they’d taken.








